This forum is invite only. To register your account, follow the invite link in your invitation email.
Consider the following IFS of four Affine functions:
[dmath]
\begin{align}
f_1(\vec{x}) &= \left(
\begin{array}{cc}
\frac{1}{4} & 0 \\
0 & \frac{1}{2}
\end{array}
\right) \cdot \vec{x} \\
f_2(\vec{x}) &= \left(
\begin{array}{cc}
\frac{1}{4} & 0 \\
0 & \frac{1}{2}
\end{array}
\right) \cdot \vec{x} + \left(
\begin{array}{c}
\frac{1}{4} \\
\frac{1}{2} \
\end{array}
\right)\\
f_3(\vec{x}) &= \left(
\begin{array}{cc}
\frac{1}{4} & 0 \\
0 & \frac{1}{2}
\end{array}
\right) \cdot \vec{x} + \left(
\begin{array}{c}
\frac{1}{2} \\
0
\end{array}
\right) \\
f_4(\vec{x}) &= \left(
\begin{array}{cc}
\frac{1}{4} & 0 \\
0 & \frac{1}{2}
\end{array}
\right) \cdot \vec{x} + \left(
\begin{array}{c}
\frac{3}{4} \\
\frac{1}{2}
\end{array}
\right)
\end{align}
[/dmath]
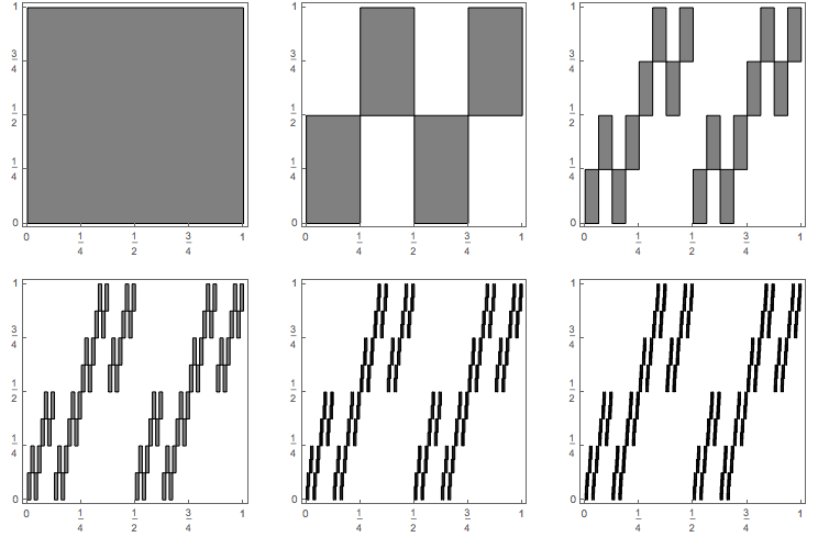
Several iterations of this IFS applied to the unit square are shown below:
In particular, note that the image of the square is not another square - it's a rectangle that's twice as tall as it is wide. After 5 steps away from the square, we see a good approximation to the limiting attractor, which we denote $E$.
Comments
There are four functions each one operates with the same contraction ratios with the last three shifting the contracted vector within the unit square. Since they are shifted up and to the right by a multiple of the width and height you end up with four distinct rectangles the second iterations acts upon this new set of points which creates four new copies and so on.
Each rectangle can be broken in two squares of side length [dmath] \frac{1}{4} [/dmath] which leaves you with [dmath] 8^n [/dmath] squares. Therefore our convergent sequence and number of squares is
[dmath]
\epsilon = \frac{1}{4}^n
N_{\epsilon}=8^n
[/dmath]
[dmath]
dim(E)=\frac{\log(8^n)}{\log(4^n)}=1.5
[/dmath]
The number of squares needed to cover each rectangle is 2 that would mean
[dmath]
N_{\frac{1}{4^n}}=2 * 4^n
[/dmath]
[dmath]
dim (E)= \lim_{n \rightarrow \infty} \frac{\log(2)+\log(4^n)}{log(4^n)}=1
[/dmath]