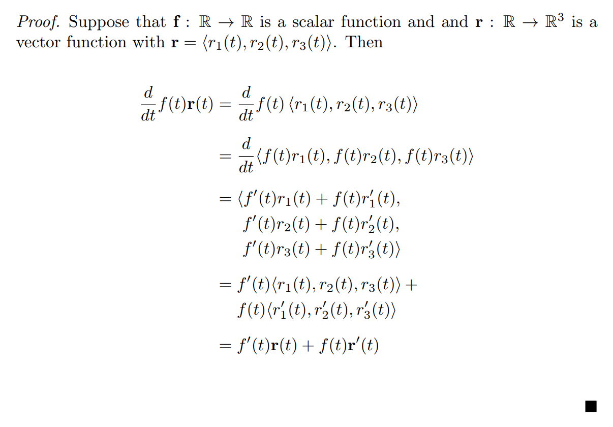
Prove the scalar product rule

According to theorem 13.2.5(c) in section 13.2 of Guichard's text ,
$$\frac{d}{dt} f(t){\bf r}(t)= f(t){\bf r}'(t)+f'(t){\bf r}(t).$$
In this context, $f:\mathbb R\to\mathbb R$ is a scalar function and ${\bf r}:\mathbb R\to\mathbb R^3$ is a vector function.

Write down a componentwise proof of this theorem.

Comments

  • edited January 2018

    Proof of Product Rule for vectors

    $$
    \begin{array}{ll}
    (n*m)' & = & (m1n1 + m2n2 + m3n3)' \\
    & = & (m1'n1 + m1n1' + m2'n2 + m2n2' + m3'n3 + m3n3') \\
    & = & ((m1'n1 + m2'n2 + m3'n3) + ( m1n1' + m2n2' +m3n3')) \\
    & = & (m'n + mn');
    \end{array}
    $$

  • @john - I think you might have some good ideas here. But , there area a few issues

    1. The forum doesn't process full LaTeX documents - just LaTeX snippets for the math. If you want an itemized list like this, you should use markdown .
    2. I'm not sure what you mean by a "Product rule for vectors". There's no single, simple multiplication between vectors. There's

      • a scalar product rule (for the product between a scalar and a vector),
      • a dot product rule (for the dot product between two vectors), and
      • a cross product rule (for the cross product between two three dimensional vectors).
Sign In or Register to comment.